
产品分类
Products
更新时间:2025-11-27
浏览次数:217实验名称:基于HSP试件和PZT换能器的导波传播与脱粘分层验证实验
研究方向:探究蜂窝夹层板(HSP)高频导波频散特性与脱粘分层损伤的关联机制及监测方法优化。通过等效换算法构建周期性结构模型,结合仿真量化导波波长与蜂窝芯尺度对频散特性的影响规律;进一步通过实体有限元模型和PZT传感实验验证高频导波的“脱粘式分流"传播特征,揭示脱粘分层导致Ao模态幅值显著增大的损伤敏感机制;提出以高频激励的Ao模态时域响应作为特征参量,实现脱粘分层的精准识别,为列车、航空航天等领域的HSP结构健康监测提供高灵敏度、低误报率的工程解决方案。
实验目的:首先通过理论建模与有限元仿真探究蜂窝夹层板中导波波长与蜂窝芯单胞边长比例对频散特性、导波模态传播路径及能量分布的影响规律;进一步基于实体有限元模型和PZT传感实验,针对脱粘分层导致的导波“分流效应"设计验证方案,通过铝制HSP试件和预制脱粘区域的对照实验,量化脱粘状态下Ao模态时域幅值的变化特征,验证高频导波对脱粘损伤的敏感性与识别可靠性。
测试设备:信号发生器、示波器、ATA-2021B高压放大器、PZT换能器、HSP试件、计算机等。
实验过程:首先通过计算机仿真模拟声波在蜂窝夹层板中的传播规律,发现当声波波长小于蜂窝格尺寸的5倍时,声波会集中在材料表面传播,且传统理论模型会失效。基于这一发现,制作了带有预制"脱胶"损伤的铝制蜂窝板试件,并在试件表面布置了7个微型传感器阵列。通过信号发生器产生100kHz的检测声波,经放大后驱动传感器发射声波,并接收传回的信号。

图1实验系统实物图

图2实验系统框图
实验结果:当声波经过脱胶区域时,一种特定模式的声波(Ao模态)幅度会显著增大48%,而其他波形的能量则会衰减35%。这种"幅度增大"现象与脱胶面积大小呈正比关系,成为了识别隐藏损伤的明确信号。通过多次测试,最终确定100kHz是最佳检测频率,并以Ao模态幅度增加30%作为损伤判断阈值。

图3脱粘与健康HSP时域信号对比

图4激励信号与传感信号的对比

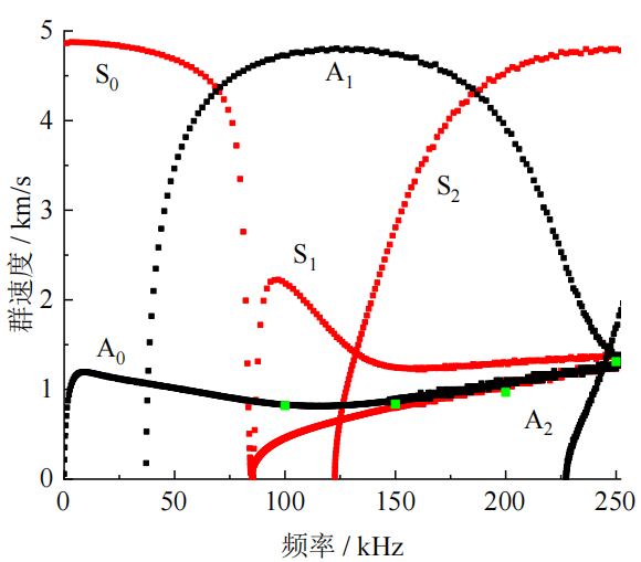
图5HSP结构的频散曲线
放大器在该实验中发挥的效能:信号放大器通过单级增益放大机制,将信号发生器输出的毫瓦级激励信号提升至伏特量级驱动电压,从而驱动PZT压电陶瓷作动器产生高频导波,克服HSP结构中导波传播的能量衰减,确保脱粘分流的损伤特征可被传感器精准捕获。
安泰ATA-2021B高压放大器:

图:ATA-2021B高压放大器指标参数
本文实验素材由西安安泰电子整理发布。西安安泰电子是专业从事功率放大器、高压放大器、功率信号源、前置微小信号放大器、高精度电压源、高精度电流源等电子测量仪器研发、生产和销售的高科技企业。公司致力于功率放大器、功率信号源、计量校准源等产品为核心的相关行业测试解决方案的研究,为用户提供具有竞争力的测试方案,Aigtek已经成为在业界拥有广泛产品线,且具有相当规模的仪器设备供应商,样机都支持免费试用。