
产品分类
Products
更新时间:2025-12-15
浏览次数:237实验名称:面向角速度传感应用的硅基二氧化硅光波导谐振腔结构参数优化
实验内容:本章提出了一种双圈交叉光波导谐振腔新型结构,该结构在有限的芯片空间内通过增加谐振腔的腔长能够有效的提升谐振腔的品质因数。
测试设备:功率放大器、可调谐激光器、信号发生器、偏振控制器、光电探测器与示波器等。

图1:氧化硅光波导谐振腔测试系统
实验过程:

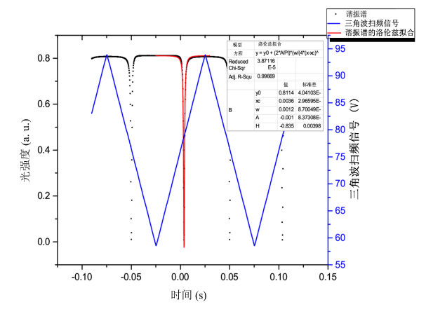
图2:间距4.4μm光波导谐振腔的谐振谱
将间距4.4μm的光波导谐振腔置于温控盒中,调节温度使谐振腔的谐振频率处于激光器中心频率附近,稳定后得到如图2所示的光波导谐振腔的谐振谱线。根据测得的谱线可计算得到谐振腔的品质因数、谐振深度、半高全宽等参数。图中三角波为激光器的扫频信号频率为10Hz,由信号发生器产生经过高压放大器放大后幅值为59.6V,可以看到在三角波扫频信号的上升沿里出现了光波导谐振腔的谐振峰。对该谐振峰进行洛伦兹拟合得到其时间域上的半高全宽为0.0012s,对应的扫描电压差为1.49V。激光器的频率调制系数为15MHz/V,可以得出谐振腔的半高全宽为22.35MHz。品质因数可以根据半高全宽得到,谐振深度也可由发生谐振时的光强与非谐振时的光强比来得到。该光波导谐振腔的品质因数测得为8.66×106,谐振深度为99.9%。
实验结果:

图3:光波导谐振腔仿真结果与测试结果的对比(a)半高全宽与间距的关系,(b)谐振深度与间距的关系
不同间距的光波导谐振腔经过谐振谱测试,其结果如图3所示。可以看出仿真结果与实测结果吻合较好。谐振腔的半高全宽随着间距的增加逐渐减小,测试结果与仿真值具有相同的趋势;谐振深度随着间距的增加先增加后减少,测试结果也是如此。且在间距4.4μm处谐振腔处于临界耦合状态,与仿真计算具有良好的一致性。
谐振腔的测试结果体现出前面所提出的谐振腔设计方法的可靠性。这批氧化硅光波导谐振腔品质因数最高的是间距5.2μm,Q值为1.02×107;谐振深度最高的是间距4.4μm,谐振深度为99.9%,Q值为8.66×106。
然而,图3中也显示出仿真值与实际测试值之间还存在一定的误差,通过对测试结果的分析,本文认为造成误差的愿意可能来自于光波导实际传输损耗的测试误差、加工工艺导致的间距误差以及激光器线宽导致的谐振谱半高全宽的测试误差等因素。
功率放大器推荐:ATA-1200C宽带放大器

图:ATA-1200C宽带放大器指标参数
西安安泰电子是专业从事功率放大器、高压放大器、功率信号源、前置微小信号放大器、高精度电压源、高精度电流源等电子测试仪器研发、生产和销售的高科技企业,为用户提供具有竞争力的测试方案。Aigtek已经成为在业界拥有广泛产品线,且具有相当规模的仪器设备供应商,样机都支持免费试用。