
产品分类
Products
更新时间:2025-10-15
浏览次数:294实验名称:双晶补偿电场传感器温度特性试验
实验目的:针对电场传感器小型化需求,提出共路铌酸锂电场传感方案,试验获取了共路传感器基本特性,同时校准了电场传感器时域响应和频域响应特性。针对电场传感器在宽温湿区长期使用的需求,通过分析温度对传感器精度的影响机制,提出了双晶补偿电场传感器和Z轴通光电场传感器,开展温度试验获取了传感器宽温区适应性,同时开展湿度试验获取了传感器宽湿区适应性。最后将温湿度稳定性良好的强电场传感器应用于多次现场试验以验证电场传感器性能。
测试设备:任意函数发生器、功率放大器、冲击电压发生器、分压器、示波器、平板电极等。
实验过程:
电场幅值大、频率范围宽的电场发生装置获得较为困难,本文通过组合两种不同高低频电场信号发生装置作为宽频源,宽频源1:使用任意函数发生器产生频率10Hz-20kHz的小幅值正弦信号,通过高压放大器产生强电场,使用频域校准的方法获取电场传感器该频段频率响应特性;宽频源2:使用雷电冲击发生器产生陡波电场,对校准电场和传感器输出使用傅里叶变换获取对应的频域信号,计算获得频率响应,雷电冲击时域信号转换为频域信号后,频谱主要分布在10kHz-2MHz范围内,因此通过时域校准的方法可以获取传感器该频段频率响应特性,最后拼接获得强电场传感器10Hz-2MHz范围内频率响应特性。

图:电场传感器特性试验平台
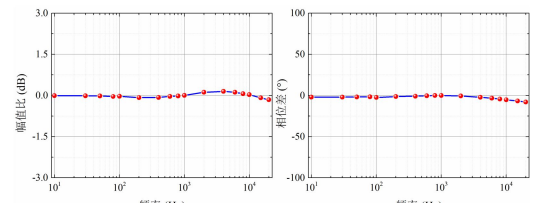
①10Hz-20kHz范围频率响应
基于图2.11所示电场传感器特性试验平台,采用频率校准方法测量电场传感器在10Hz-20kHz范围的频率响应,采用任意函数发生器和高压放大器的组合电压源在平板电极施加幅值2kV正弦波信号,调节正弦信号频率从10Hz上升至20kHz,同时采集正弦输入信号和传感器的输出信号。

图2:10Hz-20kHz范围的频率响应(频率以10kHz作为参考)
图2描述强电场传感器10Hz-20kHz范围的频率响应,传感器响应基本为一条平坦直线,振幅比波动小于0.42dB,相位差小于8.01°,试验结果表明共路电场传感器在10Hz-20kHz范围内具有良好的频率响应。
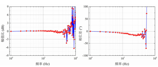
②10kHz-1MHz范围频率响应
基于电场传感器特性试验平台,采用时域的方法测量电场传感器在10kHz-1MHz范围的频率响应,使用多参数冲击发生产生峰值3kV雷电冲击电压,施加在平板电极产生冲击校准电场,记录施加电场和传感器输出波形,使用傅里叶变换获取对应的频域信号,进一步处理获得传感器该频段频率响应特性。

图3:10kHz-1MHz范围的频率响应(频率以10kHz作为参考)
图3描述强电场传感器10kHz-1MHz范围的频率响应,在10kHz-500kHz频率范围内,振幅比波动小于2.12dB,相位差小于51.9°,当频率小于500kHz时,传感器响应保持一致,基本为一条直线;当频率超过500kHz时,由于存在若干个压电谐振频点导致振幅比和相位差出现波动。
实验结果:
综合10Hz-20kHz和10kHz-1MHz范围内传感器的频率响应特性,得到共路强电场传感器在10Hz-500kHz频率范围内,传感器幅频响应的波动小于3dB,频率响应保持稳定。

图:ATA-4315高压功率放大器指标参数
本资料由Aigtek安泰电子整理发布,更多案例及产品详情请持续关注我们。西安安泰电子Aigtek已经成为在业界拥有广泛产品线,且具有相当规模的仪器设备供应商,样机都支持免费试用。